martes, 6 de diciembre de 2016

Aplicaciones De La Integral

Área entre una función y el eje de abscisas

1. La función es positiva

Si la función es positiva en un intervalo [a, b] entonces la gráfica de la función está por encima del eje de abscisas.

2. La función es negativa

Si la función es negativa en un intervalo [a, b] entonces la gráfica de la función está por debajo del eje de abscisas.

3. La función toma valores positivos y negativos

En ese caso el el recinto tiene zonas por encima y por debajo del eje de abscisas. Para calcular el área de la función seguiremos los siguientes pasos:

2º Se ordenan de menor a mayor las raíces, que serán los límites de integración.

Área comprendida entre dos funciones

El área comprendida entre dos funciones es igual al área de la función que está situada por encima menos el área de la función que está situada por debajo.

Volumen de una función

El volumen del cuerpo de revolución engendrado al girar la curva f(x) alrededor del eje OX y limitado por x = a y x = b.

Ejercicios de áreas de funciones

Ejercicios:

1º Se calculan los puntos de corte con con el eje OX, haciendo f(x) = 0 y resolviendo la ecuación.

2º El área es igual a la integral definida de la función que tiene como límites de integración los puntos de corte.

domingo, 4 de diciembre de 2016

MEME!

Exlpicacion

La idea central en este método es elegir una manera apropiada la sustitución que tiene que hacer para reducir la inte original en una que sea inmediata o m sencilla de resolver. Aquí con la ayuda teorema de Pitágoras se e apropiadamente la función trigonomét por la cual se va a sustituir la varia original.

Las relaciones de integración que vamo usar son las siguientes:

`int k dx=k int dx`, en donde `k` es constante.

`int dx=x+C`

`int cos x dx=sin x+C`

En donde `C` es una constante.

INTEGRACION POR SUSTITUCION TRIGONOMETRICA

http://www.youtube.com/watch?v=gMLkLkGrENc&feature=youtube_gdata_player

Ejercicio!

http://www.youtube.com/watch?v=CavjhBTYma8&feature=youtube_gdata_player

METODO DE INTEGRACION POR PARTES

Cuando el integrando está formado por un producto (o una división, que podemos tratar como un producto) se recomienda utilizar el método de integración por partes.

Regla mnemotécnica: Un Día Vi Una Vaca MENOS Flaca Vestida De Uniforme (UDV = UV - FVDU)

Aunque se trata de un método simple, hay que aplicarlo correctamente.

Veamos algunos consejos:

Consejos

Escoger adecuadamente u y dv:

Una mala elección puede complicar más el integrando.

Supongamos que tenemos un producto en el que uno de sus factores es un monomio (por ejemplo x 3 ). Si consideramos dv = x 3 , entonces, integrando tendremos que v = x 4 /4. Con lo que hemos aumentado el grado del exponente y esto puede suponer un paso atrás.

Algo parecido ocurre con las fracciones (como 1/x). Si consideramos dv = 1/x, tendremos v = log|x| y, probablemente, obtendremos una integral más difícil.

Como norma general, llamaremos u a las potencias y logaritmos; y dv a las exponenciales, fracciones y funciones trigonométricas.

No cambiar la elección:

A veces tenemos que aplicar el método más de una vez para calcular la misma integral. Cuando esto ocurre, al aplicarlo por segunda vez, tenemos que llamar u al resultado du del paso anterior, y lo mismo para dv. Si no hacemos esto, como escoger una opción u otra supone integrar o derivar, estaremos deshaciendo el paso anterior y no avanzaremos.

En ocasiones, tras aplicar dos veces integración por partes, tenemos que despejar la propia integral de la igualdad obtenida para obtenerla. Un ejemplo de esto es el ejercicio 10.

Ejercicios

INTEGRAL INMEDIATA

Las Ingrales inmediatas son las que salen directamente por la propia definición de integral, es decir, la que se puede resolver de forma más o menos intuitiva pensando en una función que cuando se derive me dé la que está en la integral.

Te pongo una lista de integrales inmediatas, que como puedes comprobar es la contraria de la de las derivadas.

lunes, 7 de noviembre de 2016

Ejercicio!

http://www.youtube.com/watch?v=1kXw5mvJSfw&feature=youtube_gdata_player

Formulas

IMTEGRAL INDEFINIDA

Integral indefinida

Integral indefinida es el conjunto de las infinitas primitivas que puede tener una función.

Se representa por ∫ f(x) dx.

Se lee : integral de f de x diferencial de x.

∫ es el signo de integración.

f(x) es el integrando o función a integrar.

dx es diferencial de x, e indica cuál es la variable de la función que se integra.

C es la constante de integración y puede tomar cualquier valor numérico real.

Si F(x) es una primitiva de f(x) se tiene que:

∫ f(x) dx = F(x) + C

Para comprobar que la primitiva de una función es correcta basta con derivar.

Propiedades de la integral indefinida

1. La integral de una suma de funciones es igual a la suma de las integrales de esas funciones.

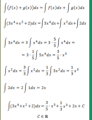
∫[f(x) + g(x)] dx =∫ f(x) dx +∫ g(x) dx

2. La integral del producto de una constante por una función es igual a la constante por la integral de la función.

∫ k f(x) dx = k ∫f(x) dx

Ejercicio de integral Definida

http://www.youtube.com/watch?v=wuI5MFhvgsY&feature=youtube_gdata_player

INTEGRAL DEFINIDA

Integral definida

Dada una función f(x) y un intervalo [a,b], la integral definida es igual al área limitada entre la gráfica de f(x), el eje de abscisas, y las rectas verticales x = a y x = b.

La integral definida se representa por

.

∫ es el signo de integración.

a límite inferior de la integración.

b límite superior de la integración.

f(x) es el integrando o función a integrar.

dx es diferencial de x, e indica cuál es la variable de la función que se integra.

Propiedades de la integral definida

1. El valor de la integral definida cambia de signo si se permutan los límites de integración.

2. Si los límites que integración coinciden, la integral definida vale cero.

3. Si c es un punto interior del intervalo [a, b], la integral definida se descompone como una suma de dos integrales extendidas a los intervalos [a, c] y [c, b].

4. La integral definida de una suma de funciones es igual a la suma de integrales·

5. La integral del producto de una constante por una función es igual a la constante por la integral de la función.

viernes, 30 de septiembre de 2016

Suma Riemann:

https://www.youtube.com/watch?v=aMfnWkyeZ_k&feature=youtube_gdata_player

¿En que consiste la suma de Riemann?

  Consiste en un método de integración numérica que sirve para calcular el valor integral definida es decir el área bajo la curva.Básicamente se refiere a trazar un número finito de rectángulos dentro de un área irregular, calcular el área de cada uno de los rectángulos y sumarlos.

SUMA RIEMANN

Las sumas de Riemann son un método para aproximar el área total bajo la gráfica de una curva. Llevadas al límite se obtiene la integral de Riemann.